Petermann-Technik Lexikon

Quarze optimal auf ICs abstimmen

Praxisleitfaden für Elektronikentwickler*innen

Damit ein Quarzoszillator (Schwingquarz in der Oszillatorstufe eines ICs) stabil, präzise und zuverlässig schwingt, muss der eingesetzte Quarz optimal auf die Anforderungen des jeweiligen ICs abgestimmt werden.

Entscheidend sind dabei Lastkapazitäten, Anschwingbedingungen, Drive-Level (Quarzstrom) sowie Layoutfaktoren auf der Leiterplatte. 

Dieser Beitrag erklärt kompakt und praxisorientiert, wie die korrekte Abstimmung eines Quarz-Taktgebers gelingt und welche Fehler in der Praxis besonders häufig auftreten.

A. Warum Quarze und ICs abgestimmt werden müssen

Quarze sind frequenzbestimmende Komponenten, deren Genauigkeit stark von ihrer elektrischen Umgebung abhängt. Mikrocontroller-Hersteller spezifizieren typischerweise:

  • erforderliche Lastkapazität (CL)
  • zulässiges Drive-Level
  • benötigte Startzeit
  • Oszillatortopologie und interne Verstärkung

Nur wenn diese Parameter zum Quarz passen, arbeitet der Oszillator innerhalb seiner Toleranzen und erfüllt Timing-Anforderungen wie z. B. Wireless, USB, CAN, Ethernet, UART-Baudraten, etc.

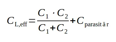
B. Die Rolle der Lastkapazität (CL)

Die Lastkapazität definiert den Arbeitspunkt der Schwingfrequenz. Jeder Quarz wird auf eine bestimmte CL getrimmt (z. B. 8 pF, 12 pF, 16 pF).

Die effektive Lastkapazität ergibt sich aus:

C. Dimensionierung der externen Kapazitäten

Die externen Kapazitäten C1 und C2 werden so gewählt, dass:

Typische Richtwerte:

Quarz-CL

C1/C2-Startwert

6 pF12–15 pF
8 pF15–18 pF
12.5 pF18–20 pF

Eine präzise Anpassung erfolgt oft über Messungen oder Herstellerempfehlungen.

Als Rechenbeispiel: 

Frage: „Mit welchen externen Kapazitäten muss ich einen CL 12pF Quarz beschalten?“

Basierend auf obiger Formel wird folgendes gerechnet:

182 geteilt durch 36 plus 2pF = 18 pF (CX1 und CX2 sollen je 18pF to GND betragen) 

Die In-Circuit-Messungen von unseren Schwingquarzen in Kundenschaltungen zeigten als sehr verlässlichen Durchschnittsparameter eine Streukapazität (C parasitär) von 2pF auf. 

Es gibt aber auch IC-Hersteller, die in Ihren Datenblättern eine kapazitive Belastung von XIN/XOUT von bis zu 7pF beschreiben. Daher ist es wichtig, vor der Berechnung der Schaltungskapazitäten für den Schwingquarz nochmals im Datenblatt nachzulesen, welche kapazitive Belastung ggf. für XIN/XOUT vorgegeben sind. 

Sollte der Schwingquarz in einer Applikationen mit höherer Langzeitgenauigkeit verwendet werden, zum Beispiel in Wireless Applikation fürs ISM-Band, dann empfehlen wir die Verwendung von 1% tolerierten Beschaltungskapazitäten. 

 

Lesen Sie hier mehr: Externe Kapazitäten C1/C2 dimensionieren und Cstray bestimmen

D. Drive-Level und Verlustleistung

Der Drive-Level (typisch 1–200 µW) gibt an, wie viel Leistung der Quarz dauerhaft verträgt.

Zu hoher Drive-Level führt zu:

  • Erhöhter Alterung und Drift
  • Erhöhung der Frequenzstabilität
  • Erhöhung des Serienresonanzwiderstandes
  • Fehlausfällen durch Risse im Quarzplättchen

Zu niedriger Drive-Level verursacht:

  • unzuverlässiges Starten
  • erhöhte Jitterwerte

Oszillator-ICs geben meist den typischen und maximalen Drive-Level an; eine Messung ist empfehlenswert.

Da die Resonator-Designs für die von uns lieferbaren SMD-Quarze selber entwickelt werden, können wir auch in kleinen Keramikgehäusen MHz Schwingquarze mit hoher Drive Level Festigkeit liefern. Den Low ESR Mini-Quarz der Serie SMD03025/4 bis 500 µW, bzw. den Ultra-Miniature MHz Quarz der Serie SMD02016/4 bis 400 µW.

 

Lesen Sie hier mehr: Drive-Level und Quarzstrom messen

E. Start-Up-Time (Startzeit)

Die Startzeit hängt ab von:

  • Verstärkung des Oszillators im IC
  • Quarz-ESR (Equivalent Series Resistance)
  • Lastkapazität des Schwingquarzes
  • Werte der externen Beschaltungskapazitäten
  • Temperatur und Versorgungsspannung

Zu große CL-Werte verlängern die Startzeit oft erheblich → problematisch bei Low-Power-MCUs mit Sleep-Zyklen.

 

Lesen Sie hier mehr: Start-Up-Time des Quarzoszillators messen

F. ESR – ein unterschätzter Parameter

Der ESR beeinflusst:

  • Anschwingverhalten und Anschwingsicherheit
  • Energieverbrauch
  • Anschwingverhalten bei niedrigen Quarzströmen

Viele ICs spezifizieren einen maximalen ESR (z. B. 70 Ω). Liegt der Quarz darüber, kann der Oszillator nicht sicher starten.

 

Lesen Sie hier mehr: ESR (Equivalent Series Resistance) des Quarzes prüfen

F.1: Warum Oszillatorstufen einen negativen Eingangswiderstand besitzen

In kapazitiven Pierce-Oszillatoren – der mit Abstand meistgenutzten Topologie in Mikrocontrollern – arbeitet der interne Inverter des ICs in einem analogen Arbeitsbereich, in dem er sich wie ein Verstärker mit negativer Impedanz verhält. Dieser negative Eingangswiderstand (−Rneg) ist gewollt und sorgt dafür, dass:

  • der Quarz Energie aus der Oszillatorschaltung erhält,
  • Verluste im Quarz (ESR) kompensiert werden,
  • die Schwingung selbstständig anwächst und stabil wird.

Vereinfacht gilt als Startbedingung:

Das bedeutet: Der Betrag des negativen Eingangswiderstands muss größer sein als der Serienwiderstand (ESR) des Quarzes.

Nur dann entsteht eine Nettoverstärkung, die zum Anschwingen führt.

 

Lesen Sie hier mehr: Negativen Eingangswiderstand −Rneg und Anschwing-sicherheitsreserve prüfen

 

F.2: Einfluss auf die Anschwingsicherheit

Ist der Betrag des negativen Eingangswiderstands zu klein (also −Rneg zu schwach ausgeprägt), passiert Folgendes:

  • Der Quarz erhält zu wenig Energie → langsame oder gar keine Anschwingung
  • Die Oszillation setzt erst bei höherer Versorgungsspannung oder Temperatur ein
  • Das Start-up in Low-Power-Betriebsarten wird unzuverlässig

Typische Ursache:
Einige moderne MCUs haben aus Effizienzgründen schwache Oszillatorverstärker, wodurch −Rneg kleiner ist als bei älteren IC-Generationen. Gleichzeitig arbeiten viele Designs mit kleinen Lastkapazitäten oder langen Leiterbahnen, was parasitäre Verluste erhöht.

 

F.3: Warum Quarze mit niedrigem ESR besonders wichtig sind?

Der ESR des Quarzes definiert seine inneren Verluste. Ein niedriger ESR bedeutet:

  • geringere Verluste
  • geringere notwendige Gegenverstärkung
  • hohe Anschwingsicherheit auch bei schwachen Oszillatorstufen
  • geringere Startzeit
  • stabileres Schwingen über Temperatur

Praktische Empfehlung:
- Verwende Quarze, deren ESR deutlich unter dem vom IC spezifizierten Maximalwert liegt.
- Wenn ein Mikrocontroller z. B. max. 70 Ω ESR vorgibt, ist ein Quarz mit 30–50 Ω ESR ideal. Damit bleibt ausreichend Sicherheitsmarge gegenüber einem möglicherweise niedrigen negativen Eingangswiderstand des Oszillators.

 

Lesen Sie hier mehr: ESR (Equivalent Series Resistance) des Quarzes prüfen

 

F.4: Fazit zum Zusammenspiel von −Rneg und Quarz-ESR

Die Anschwingsicherheit hängt wesentlich davon ab, dass:

  • der interne Oszillator genügend negativen Eingangswiderstand liefert,
  • der Quarz einen ausreichend niedrigen ESR aufweist,
  • die Lastkapazitäten korrekt dimensioniert sind.

Nur bei korrektem Verhältnis von −Rneg zu ESR startet der Quarz schnell, zuverlässig und über den gesamten Temperatur- und Spannungshub hinweg.

 

Lesen Sie hier mehr: Negativen Eingangswiderstand −Rneg und Anschwing-sicherheitsreserve prüfen

G. Layout-Empfehlungen

Für Quarze gilt:

  • Quarz + Kondensatoren möglichst nah am IC platzieren
  • kurze, symmetrische Leiterbahnen
  • keine Signale oder Masseflächen direkt unter dem Quarz – verringert parasitäre Kapazitäten
  • dedizierte GND-Insel für die Kondensatoren
  • Wenn möglich den Quarz auf GND legen (bei unseren SMD-Schwingquarzen im Keramikgehäuse können die Pads #2 und #4 auf GND gelegt werden. Aber bitte den Quarz sofort auf GND legen und für die Frequenzabstimmung in der Schaltung nicht mehr ändern. 

Diese Maßnahmen verbessern EMV, Jitter und Startverhalten.

 

Lesen Sie hier mehr: Layout-Validierung am fertigen Board – Jitter, EMV und Startverhalten prüfen

H. Häufige Fehler in der Praxis

  • falsche CL-Wahl → Frequenzfehler
  • Quarz mit zu hohem ESR → startet nicht zuverlässig
  • Drive-Level überschritten → Quarz driftet stark
  • schlechtes Layout → instabile Oszillation
  • parasitäre Kapazitäten falsch berücksichtigt

I. Fazit

Die optimale Abstimmung eines Quarzes auf ein IC ist entscheidend für die Zuverlässigkeit des Oszillators und den langfristigen Betrieb des Quarzresonators in der Schaltung (Drive Level Anpassung). Mit korrekter Lastkapazität, richtigem Drive-Level, geeignetem ESR und einem guten Layout können Entwickler stabile Frequenzreferenzen sicherstellen.

Technische Erläuterung der Oszillator-Diagramme

Überblick

Die dargestellten Diagramme beschreiben die physikalischen und elektrischen Mechanismen, die das Start- und Betriebsverhalten eines quarzstabilisierten Pierce-Oszillators bestimmen. Im Fokus stehen insbesondere:

  • der negative Eingangswiderstand der Oszillatorstufe,
  • das Verlustmodell des Quarzes (ESR),
  • die Startbedingung gemäß Barkhausen-Kriterium,
  • der zeitliche Aufbau des Drive-Levels,
  • parasitäre Kapazitäten sowie
  • layoutbedingte Einflussfaktoren.

Diese Parameter sind entscheidend für Anschwingsicherheitsreserve, Anschwingzeit, Frequenzgenauigkeit, Jitter und Langzeitstabilität.

1. Pierce-Oszillator und negativer Eingangswiderstand

(linke obere Darstellung)

Diese Grafik zeigt die klassische Pierce-Oszillatorschaltung, wie sie in den meisten Mikrocontrollern und ASICs integriert ist. Der Pierce-Oszillator basiert auf einem invertierenden Verstärker, der durch Rückkopplung über den Quarz in den linearen Betrieb gezwungen wird. In diesem Arbeitspunkt lässt sich die Eingangsstufe durch ein Kleinsignal-Ersatzmodell mit negativem Realteil der Impedanz beschreiben.

Mathematisch gilt:

Dieser negative Widerstand stellt eine aktive Energiequelle dar, die die im Quarz entstehenden Verluste kompensiert.

Wichtige Eigenschaften von −Rneg:

  • abhängig von Versorgungsspannung, Temperatur und Prozessstreuung
  • stark beeinflusst durch interne Bias-Netzwerke
  • in Low-Power-Designs bewusst reduziert

Technische Bedeutung:

  • Der interne Inverter des ICs arbeitet im linearen Bereich und verhält sich wie ein negativer Widerstand (−Rₙₑg).
  • Dieser negative Eingangswiderstand kompensiert die Verluste des Quarzes (dessen ESR).
  • Nur wenn genügend negative Impedanz vorhanden ist, kann die Schwingung anwachsen.

Kernaussage:
Die Oszillatorstufe liefert Energie – der Quarz bestimmt die Frequenz.

 

Lesen Sie hier mehr: Negativen Eingangswiderstand −Rneg und Anschwing-sicherheitsreserve prüfen

2. Lastkapazitätsmodell des Quarzes

(obere mittlere Darstellung)

Diese Darstellung zeigt den Quarz mit den beiden externen Beschaltungskondensatoren C₁ und C₂

Der Quarz lässt sich elektrisch durch ein Serien-RLC-Glied (R1, L1, C1) mit einer parallelen Gehäusekapazität C0 beschreiben. Der ESR (Equivalent Series Resistance) repräsentiert die mechanischen Verluste des Schwingungssystems.

Die externe Beschaltung mit C₁ und C₂ definiert die effektive Lastkapazität:

Abweichungen von der spezifizierten CL führen zu:

  • systematischem Frequenzversatz
  • verändertem Phasenwinkel im Regelkreis
  • reduzierter negativer Widerstandsreserve

Technische Bedeutung:

  • Die effektive Lastkapazität bestimmt die tatsächliche Arbeitsfrequenz des Quarzes.
  • C₁ und C₂ wirken seriell, zusätzlich kommen parasitäre Kapazitäten hinzu.
  • Der Quarz ist immer auf eine definierte Lastkapazität spezifiziert (z. B. 8 pF oder 12 pF).

Kernaussage:
Falsche Lastkapazität führt zu Frequenzabweichungen und schlechterem Anschwingverhalten.

3. Anschwingbedingung und negative Widerstandsreserve (Startup-Condition: |Rₙₑg| > Rₑₛᵣ)

(obere rechte Darstellung)

Die notwendige Startbedingung ergibt sich aus dem Barkhausen-Kriterium:

  • Schleifenverstärkung ≥ 1
  • Phasenverschiebung = 0° (bzw. 360°)

Im Impedanzmodell reduziert sich dies auf:

Für robuste Designs wird eine Sicherheitsreserve empfohlen:

In Automotive-Applikationen wird folgendes gefordert:

Konsequenzen unzureichender Reserve:

  • Verlängerte, instabile Startzeit
  • temperaturabhängiges Nicht-Anschwingen
  • Startprobleme bei niedriger Versorgungsspannung

Diese einfache Ungleichung beschreibt die fundamentalen Anschwingbedingung.

Technische Bedeutung:

  • Der Betrag des negativen Eingangswiderstands muss größer sein als der ESR des Quarzes.
  • Ist diese Bedingung nicht erfüllt, schwingt der Quarz nicht oder nur unzuverlässig an.
  • Moderne Low-Power-MCUs besitzen oft einen kleineren −Rₙₑg als ältere Designs.

Kernaussage:
Quarze mit niedrigem ESR sind entscheidend für sicheres Anschwingen in der Oszillatorstufe. 

>Alle von uns gelieferten Schwingquarze verfügen über die exklusive LRT-Technologie (Low ESR Resonator Technology). Unsere innovativen LRT-Schwingquarze haben designbedingt sehr niedrige ESR Werte (bei +25°C und über den entsprechend spezifizierten Temperaturbereich), so dass sie dem Schaltungsdesigner sehr viel Anschwingreserve bieten und jederzeit unter allen Umständen sehr schnell und sehr sicher in der Schaltung anschwingen. 

 

Lesen Sie hier mehr: Negativen Eingangswiderstand −Rneg und Anschwing-sicherheitsreserve prüfen

4. Zeitlicher Aufbau des Drive-Levels

(untere linke Darstellung)

Diese Kurve zeigt den zeitlichen Aufbau der Schwingamplitude nach dem Einschalten.

Nach dem Einschalten beginnt der Oszillator im Rauschbereich. Die Schwingamplitude wächst exponentiell gemäß:

wobei die Zeitkonstante τ durch die Differenz zwischen negativer Verstärkung und Verlusten bestimmt wird.

Drive-Level-Grenzen:

  • oberer Grenzwert durch mechanische Belastbarkeit des Quarzes
  • unterer Grenzwert durch notwendige Energiezufuhr zur Stabilisierung

Ein zu hoher Drive-Level beschleunigt Alterung und Drift, ein zu niedriger verschlechtert Jitter und Startverhalten.

Technische Bedeutung:

  • Zu Beginn ist die Schwingung sehr klein und wächst exponentiell an.
  • Der stationäre Drive-Level ergibt sich aus dem Gleichgewicht zwischen Verstärkung und Verlusten.
  • Zu hoher Drive-Level kann den Quarz schädigen, zu niedriger Drive-Level erschwert das Starten.

Kernaussage:
Ein korrekt dimensionierter Oszillator startet schnell und betreibt den Quarz im zulässigen Leistungsbereich.

 

Lesen Sie hier mehr: Drive-Level und Quarzstrom messen / Start-Up-Time des Quarzoszillators messen

5. Parasitäre Kapazitäten und deren Auswirkungen

(untere mittlere Darstellung)

Parasitische Kapazitäten entstehen durch:

  • IC-Pins (typ. 1 – 3 pF)
  • Leiterbahnen (≈ 0,5 – 2 pF)
  • Lötpads und Gehäuse

Diese Kapazitäten:

  • erhöhen die effektive Lastkapazität
  • reduzieren den Betrag von −Rneg
  • verschieben den optimalen Arbeitspunkt

Besonders kritisch sind Designs mit niedriger spezifizierter CL, da parasitäre Effekte dort prozentual stark wirken. Meistens werden in batteriebetriebenen Applikationen von den entsprechenden IC-Herstellern SMD-Quarze mit niedrigen Lastkapazitäten vorgegeben. MHz Quarz typ. 8 pF. 32.768 kHz Quarz bis 4 pF. In solchen Applikationen ist es ratsam, eine Toleranz von 1% max. für die externen Beschaltungskapazitäten C₁ und C₂ zu wählen. Damit können parasitäre Einflüsse auf die Arbeitsfrequenz des Quarzes stark reduziert werden. 

Technische Bedeutung:

  • Parasitische Kapazitäten erhöhen die effektive Lastkapazität ungewollt.
  • Sie beeinflussen Quarzfrequenz, Anschwingzeit und -sicherheit, sowie negative Widerstandsreserve.
  • Besonders bei niedrigen CL-Quarzen (< 10 pF) sind sie kritisch.

Kernaussage:
Parasitäre Kapazitäten müssen bei der Dimensionierung der Lastkondensatoren/externen Beschaltungskapazitäten immer berücksichtigt werden.

 

Lesen Sie hier mehr: Externe Kapazitäten C1/C2 dimensionieren und Cstray bestimmen / Parasitäre Kapazitäten Cpar auf der Leiterplatte ermitteln

6. Layout-Einfluss auf Oszillatorstabilität

(untere rechte Darstellung)

Diese schematische Darstellung zeigt empfohlene Layout-Prinzipien. Das Leiterplattenlayout beeinflusst das Quarzverhalten in der Schaltung stärker als häufig angenommen.

Technische Bedeutung:

  • Quarz und Lastkondensatoren sehr nah an das IC anbinden
  • Kurze, symmetrische Leiterbahnen
  • Keine Signale oder Masseflächen unter dem Quarz
  • Dezidierte, saubere Masseführung

Kernaussage:
Ein schlechtes Layout kann selbst einen optimal ausgewählten Quarz unbrauchbar machen.

 

Lesen Sie hier mehr: Layout-Validierung am fertigen Board – Jitter, EMV und Startverhalten prüfen

7. Zusammenfassung:

Die Abbildung verdeutlicht, dass die Funktion eines Quarzoszillators nicht nur vom Quarz selbst, sondern vom Zusammenspiel aus IC-Oszillator, ESR, Lastkapazität, parasitären Effekten und Layout abhängt.

Für ein robustes Oszillatordesign müssen folgende Bedingungen erfüllt sein:

  • Quarz mit niedrigem ESR wählen
  • um damit ausreichende, negative Widerstandsreserve sicherstellen
  • Lastkapazitäten realistisch berechnen
  • Layout konsequent optimieren
     

Kernaussage:

Der Quarz sollte nicht nur die IC-Spezifikation erfüllen, sondern deutlich darunter liegen, um Prozess-, Temperatur- und Alterungseinflüsse sicher zu kompensieren.

Oder rufen Sie ganz einfach unsere Spezialisten an. Sie erhalten von uns eine vollumfängliche Design-in Betreuung. Ihr Erfolg ist unser Ziel!

FAQs

Wie stimmt man einen Quarz optimal auf die Lastkapazität eines ICs ab?

Die Lastkapazität ist einer der wichtigsten Parameter, damit ein Quarz im IC-Oszillator präzise auf seiner Sollfrequenz arbeitet. Jeder Schwingquarz ist auf eine definierte CL ausgelegt, beispielsweise 8 pF, 12 pF oder 16 pF, und diese muss in der realen Schaltung möglichst genau getroffen werden. Dabei zählen nicht nur die externen Kondensatoren C1 und C2, sondern auch parasitäre Kapazitäten der Leiterplatte sowie die Eingangskapazitäten von XIN und XOUT. Wird die effektive Lastkapazität zu klein gewählt, steigt die Frequenz und es können Timingfehler entstehen. Ist sie zu groß, sinkt die Frequenz und zusätzlich verschlechtern sich oft die Startbedingungen des Oszillators. Deshalb sollte die Auslegung immer mit Datenblattwerten, realistischen Cpar-Annahmen und idealerweise In-Circuit-Messungen verifiziert werden.

Welche externen Kapazitäten sind für einen Quarz mit 12 pF Lastkapazität erforderlich?

Für einen Quarz mit 12 pF Lastkapazität müssen die externen Beschaltungskapazitäten so gewählt werden, dass zusammen mit den parasitären Kapazitäten die spezifizierte CL erreicht wird. Im gezeigten Praxisbeispiel ergibt die Berechnung bei einer angenommenen Streukapazität von 2 pF je Anschluss externe Kondensatoren von jeweils 18 pF gegen Masse. Dieser Wert ist ein guter Ausgangspunkt, wenn keine abweichenden Vorgaben des IC-Herstellers bestehen. Wichtig ist jedoch, dass manche ICs bereits eine kapazitive Belastung von XIN und XOUT von bis zu 7 pF im Datenblatt angeben. In solchen Fällen müssen diese Werte in die Berechnung einbezogen werden, damit die Schaltung nicht über- oder unterkompensiert wird. Für Anwendungen mit hoher Langzeitgenauigkeit, etwa im Wireless-Bereich, sind zudem 1 % tolerierte Kondensatoren empfehlenswert.

Warum sind Drive-Level und Quarzstrom für die Abstimmung von Quarzen auf ICs so wichtig?

Der Drive-Level beschreibt die Leistung, mit der ein Quarz im Betrieb angeregt wird, und liegt typischerweise im Bereich von 1 bis 200 µW. Wird dieser Wert dauerhaft überschritten, kann es zu Alterung, Frequenzverschiebung oder sogar zu Schäden am Quarz kommen. Ist der Drive-Level dagegen zu niedrig, schwingt der Oszillator unter Umständen instabil oder startet nicht zuverlässig. Deshalb sollten Entwickler immer prüfen, welche typischen und maximalen Werte der Oszillator-IC vorgibt. Eine messtechnische Verifikation in der realen Schaltung ist besonders sinnvoll, weil Layout, Lastkapazitäten und IC-Verhalten den Quarzstrom direkt beeinflussen. Für anspruchsvolle Designs sind Quarze mit hoher Drive-Level-Festigkeit vorteilhaft, insbesondere in sehr kleinen SMD-Bauformen.

Wie beeinflussen ESR und negativer Eingangswiderstand die Anschwingsicherheit eines Quarzoszillators?

Die Anschwingsicherheit eines Quarzoszillators hängt wesentlich davon ab, ob der negative Eingangswiderstand des ICs groß genug ist, um die Verluste des Quarzes zu kompensieren. Vereinfacht muss der Betrag von −Rneg größer sein als der Serienwiderstand ESR des Quarzes, damit eine ausreichende Nettoverstärkung zum Starten der Schwingung entsteht. Liegt der ESR zu hoch oder ist der negative Eingangswiderstand zu schwach ausgeprägt, kann der Oszillator verzögert starten oder ganz ausfallen. Das ist besonders kritisch bei modernen Mikrocontrollern, deren Oszillatorverstärker aus Effizienzgründen oft schwächer ausgelegt sind. Niedrige ESR-Werte sind deshalb in der Praxis ein wichtiger Sicherheitsfaktor. Empfehlenswert sind Quarze, deren ESR deutlich unter dem vom IC spezifizierten Maximalwert liegt.

Welche Layoutfehler und Schaltungsfehler führen häufig zu Startproblemen bei Quarzen an Mikrocontrollern?

Häufige Ursachen für Startprobleme sind falsch dimensionierte Lastkapazitäten, zu hohe parasitäre Kapazitäten und ein ungünstiges Leiterplattenlayout. Lange Leiterbahnen zwischen Quarz und IC erhöhen Verluste und Streukapazitäten, wodurch sich Frequenzlage und Anschwingverhalten verschlechtern können. Auch zu große CL-Werte verlängern oft die Startzeit erheblich, was besonders bei Low-Power-MCUs mit Sleep-Zyklen problematisch ist. Zusätzlich kann ein Quarz mit zu hohem ESR dazu führen, dass der Oszillator nicht sicher anschwingt. In der Praxis sollten Quarz und Beschaltung deshalb möglichst nah am IC platziert und die parasitären Einflüsse so klein wie möglich gehalten werden. Eine Kombination aus sauberem Layout, passender Kapazitätsauslegung und messtechnischer Prüfung erhöht die Betriebssicherheit deutlich.

Warum PETERMANN-TECHNIK Quarze optimal auf ICs abstimmen?

PETERMANN-TECHNIK ist die richtige Wahl, wenn Quarze präzise auf die Anforderungen eines ICs abgestimmt werden sollen. Das Unternehmen verbindet tiefes Know-how zu Lastkapazität, Drive-Level, ESR, Anschwingverhalten und parasitären Einflüssen mit praxisnahen Empfehlungen für reale Schaltungen. Besonders wertvoll ist die Erfahrung aus In-Circuit-Messungen in Kundendesigns, etwa bei der realistischen Bewertung von Streukapazitäten und Beschaltungskonzepten. Hinzu kommt ein Portfolio an leistungsfähigen SMD-Quarzen, darunter Low-ESR- und hoch belastbare Miniaturquarze für anspruchsvolle Anwendungen. Dadurch lassen sich auch kompakte und energieeffiziente Designs zuverlässig umsetzen. Wer stabile, präzise und robust startende Quarzoszillatoren entwickeln möchte, erhält bei PETERMANN-TECHNIK fundierte technische Unterstützung und passende Bauelemente aus einer Hand.

Telefonischer Kontakt

Unsere Frequenz-Experten sind für Sie da

Jetzt anrufen

Schreiben Sie uns

Senden Sie uns eine E-Mail - wir helfen Ihnen gerne weiter

Jetzt anschreiben
Webshop